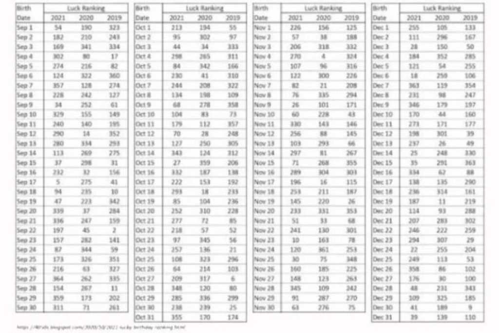
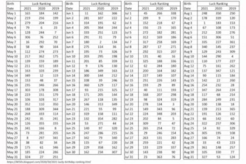
Ya llega el año nuevo y con él, todas las expectativas por saber cómo nos irá, tanto a nivel planetario por la pandemia de covid, como a nivel personal. Y para ir develando parte de lo que nos deparará 2021, nada mejor que consultar la Tabla Japonesa de la suerte, que indica cómo te irá durante el año según tu fecha de nacimiento.
Dividida en 366 opciones, la Tabla Japonesa cambia cada año y, según el pronóstico elaborado por maestros nipones, a cada fecha de cumpleaños le corresponde un número entre el 1 y el 366 (uno por cada día del año; siempre se toma en cuenta el 29 de febrero aunque no se trate de un año bisiesto).

Dentro del vaticinio que ofrece la Tabla, se considera que los mejores pronósticos los tienen las fechas de cumpleaños a las cuales les tocan los números más bajos, es decir del 1 al 50. Y por el contrario, los pronósticos menos alentadores corresponden a quienes, por su fecha de nacimiento, les tocan en suerte las cifras más cercanas al 366.

Esta tabla japonesa está basada en una creencia popular del país del sol naciente y se ha vuelto viral en las últimas horas, respondiendo a la ansiedad de saber cómo nos irá en 2021.

Según la Tabla, las personas más favorecidas por la suerte en el nuevo año serán las nacidos el 3 de agosto (en primer lugar), el 5 de marzo (segundo), 23 de febrero (tercero), 3 de abril (cuarto) y 23 de septiembre (quinto).
En tanto que los menos afortunados serán los nacidos en los días 1 de febrero, 10 de marzo, 27 de septiembre, 7 de diciembre y 21 de abril.
Más información en parati.com.ar